Some questions I set¶
是一些很乱的一个整理,从家里翻出来的一堆东西。没什么用。
只是觉得弃之可惜。
Math¶
Problem 1
古埃及习惯用多个分子为 \(1\),分母不同的分数来表示任意分数。对于正整数 \(p,q\) 满足 \(p<q\),若 \(\dfrac pq=\displaystyle\sum_{k=1}^n\frac1{a_k}\)(\(a_k\) 为互不相等的正整数),则称 \(\displaystyle\sum_{k=1}^n\frac1{a_k}\) 为 \(\dfrac pq\) 的一个“ \(k\) -单位分数表示”,例如:\(\dfrac3{10}\) 的一个 “ \(3\) -单位分数表示”为 \(\dfrac15+\dfrac1{15}+\dfrac1{30}\)。回答下列问题:
(1) 写出 \(\dfrac16\) 的两种“ \(3\) -单位分数表示”
(2) 求证:对任意的正整数 \(a\ge2\),\(\dfrac1a\) 均存在一种“ \(k\) -单位分数表示”,其中 \(k\) 可取任意正整数。
(3) 已知正整数 \(\lambda\) 满足 \(0\le\lambda\le n\)。若从 \(\{1,2,\cdots,3^n-1\}\) 中任选一个数 \(b\)(选中每个数的概率相同),记 \(\dfrac b{3^n}\) 存在“ \(3\lambda\) -单位分数表示”的概率为 \(p\),求证:
Problem 2
实数 \(x,y,z,a,b,c\) 满足
求
的最小值
Problem Set 1
对于 \(n\in N^{\ast }\) ,我们把小于 \(n\) 的正整数中与 \(n\) 的最小公倍数为 \(1\) 的数的个数记为 \(\varphi (n)\) ,例如 \(\varphi (5)=4\)
(1) 求 \(\varphi \left( 3^{n}\right) ,\varphi \left( 4^{n}\right)\)
已知数列 \(\{a_{n}\}\) 的前 \(n\) 项和为 \(S_{n}\) ,数列 \(\{b_{n}\}\) 的前 \(n\) 项和为 \(T_{n}\)
(1) 若 \(a_{n}=n\left( n+3\right)\cdot2^{n}\) ,求 \(S_{n}\)
(2) 在(1)的条件下,若 \(b_{n}=\dfrac {n^{2}+2n+2}{S_{n}}\) ,求 \(T_{n}\)
已知数列 \(\{a_{n}\}\) 满足 \(a_{n}=2n-1\) ,且 \(\forall n\in N^{\ast }, S_{n}=\dfrac {\sin a_{1}x}{a_{1}}+\dfrac {\sin a_{2}x}{a_{2}}+\cdots+\dfrac {\sin a_{n}x}{a_{n}}\geq 0\) ,求 \(x\) 的取值范围
已知数列 \(\{a_{n}\}\) 满足 \(a_{n}=1,a_{n+1}=a^{2}_{n}-\left( n+1\right) a_{n}+1\)
(1) 求 \(\{a_{n}\}\) 的通项公式
(2) 若 \(b_{n}=\dfrac {3n+5}{\left( a^{2}_{n}-1\right) a_{n}}\) ,数列 \(\{b_{n}\}\) 的前 \(n\) 项和为 \(T_{n}\) ,求证: \(T_{n} < \dfrac {5}{6}\)
数学上常用 \(\prod\limits ^{n}_{i=1}a_{i}\) 表示 \(a_{1},a_{2},\cdots,a_{n}\) 的乘积, \(\prod\limits ^{n}_{i=1}a_{i}=a_{1}\cdot a_{2}\cdots a_{n},n\in N^{\ast }\)
(1) 证明: \(\prod\limits ^{n}_{i=1}\dfrac {2i}{2i-1} > \sqrt {2n+1}\)
(2) 数列 \(a_{n},b_{n}\) 满足 \(a_{n}=n,b_{n}=\dfrac{a_{1}^{2}\cdot a_{3}^{2}\cdots a_{2n-1}^{2}}{(2n)!}\) ,证明: \(\sum\limits ^{n}_{i=1}b_{i} < \sqrt {2n+1}-1\)
已知数列 \(\{a_{n}\}\) 的前 \(n\) 项和为 \(S_{n}\) ,且满足 \(a_{1}=1,a_{n+1}-a_{n}=f(a_{n})\)
(1) 若 \(f\left( x\right) =\dfrac {x\sqrt {x}\left( 1-x\right) }{\left( \sqrt {x}-1\right) ^{3}}\) ,求证: \(\dfrac {3}{2} < S_{2024} < \dfrac {5}{2}\)
(2) 若 \(f\left( x\right) =-\dfrac {1}{3}x^{2}\) ,求证: \(\dfrac {5}{2} < 100a_{100} < 3\)
已知数列 \(\{a_{n}\}\) 的前 \(n\) 项和为 \(S_{n}\) ,且满足 \(a_{1}=1\) , \(a_{n+1}=2e^{a_{n}}+a_{n}\)
(1) 证明: \(S_{n}\geq 3^{n}-n-1\)
(2) 证明: \(( 1+\dfrac {1}{5a^{2}_{2}}) ( 1+\dfrac {1}{5a^{2}_{3}})\cdots(1+\dfrac{1}{5a^{2}_{n}})<\sqrt[3]{e}\)
Chemistry¶
Problem 1
下列说法正确的是
A. 中碳钢强度高,可用于制作地铁列车的车体
B. 铬酸作氧化剂可使铝制品的氧化膜产生美丽的颜色
C. 考古研究中常利用 \(^{14}\mathrm C\) 和 \(^{15}\mathrm N\) 的测定来分析古代人类的食物结构
D. 如果不慎将酸沾到皮肤上,应立即用大量水冲洗,然后涂上 \(3\%-5\%\,\mathrm{NaHCO}_3\) 溶液
Problem Set 1
以下材料一定不能用于制作钻头或轴承的是
A. \(Al_{2}O_{3}\)
B. \(Cr\)
C. \(Pt\)
D. \(Si_{3}N_{4}\)
类比推理是化学中常用的思维方法,下列说法正确的是
A. 常温下甲醇不能与新制 \(Cu(OH)_{2}\) 溶液反应,则常温下甘油也不能与新制 \(Cu(OH)_{2}\) 溶液反应
B. 硫酸钡不能与硫酸反应,则磷酸钡也不能与磷酸反应
C. \(NaCl\) 与浓硫酸共热能制取 \(HCl\) ,则 \(NaI\) 与浓硫酸共热也能制取 \(HI\)
D. 灼烧 \(NaNO_{3}\) 不能生成单质 \(Na\) ,则灼烧 \(Cu(NO_{3})_{2}\) 也不能生成单质 \(Cu\)
硼是一种重要的化工原料,硼制品广泛应用于化工、冶金、光学玻璃、医药、橡胶及轻工业。请回答下列问题:
I 工业上硼的冶炼流程:
(1) 流程中第一步涉及反应的化学方程式为
(2) 制备单质B过程中易生成含硼杂质,该杂质的化学式是
II 硼存在多种含氧酸
(3) 写出正硼酸 \(H_{3}BO_{3}\) 在水中的电离方程式;该反应 \(K=10^{-9.34}\) ,取 \(50mL\) 正硼酸溶液加入一定量甘露醇 \(C_{6}H_{14}O_{6}\) 后用 \(0.1000mol/LNaOH\) 标准溶液滴定并用pH计实时测定溶液pH。甘露醇的作用是
(4) 下图为一种硼酸的晶体结构,该硼酸的分子式是
(5) \(NaBH_{2}O_{4}\) 受热不易分解,是一种温和的氧化剂,在潮湿热空气中分解放氧,也可用作织物漂白剂。\(NaBH_{2}O_{4}\) 中有两种不同化学环境的氧原子,则阴离子的结构式为
III 硼可以形成一系列氢化物,它们性质类似于烷烃,所以被称作硼烷
(6) 最简单的硼烷是乙硼烷 \(B_{2}H_{6}\) ,结构与 \(AlCl_{3}\) 二聚体类似。写出 \(B_{2}H_{6}\) 的结构式
(7) 科学家至今没有发现 \(BH_{3}\) 的存在,但存在稳定的 \(BF_{3}\) 。写出可能的原因
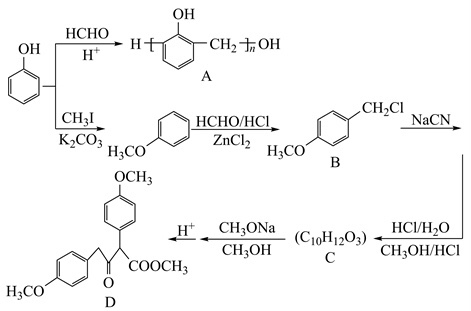
以甲醛和苯酚为主要原料,经下图所示系列转化可合成酚醛树脂和重要有机合成中间体D。部分反应条件和产物略去,回答下列问题:
(1) 用系统命名法命名A的单体; \(HCHO\) 过量时生成的A难溶于水,原因是
(2) C中所含官能团的名称是
(3) 写出生成 \(PhOCH_{3}\) 的反应方程式; \(K_{2}CO_{3}\) 的作用是
(4) B的同分异构体中,含苯环的共有___种(不含立体异构)
(5) D与氢气完全加成后产物的一氯代物最多有___种手性异构体
(6) 写出以 \(CH_{3}OH\) 为原料(无机试剂任选)制备化合物 \(CH_{3}COCH_{2}COOCH_{3}\) 的合成路线
Exam 1
Video: https://www.bilibili.com/video/BV1Da411D7Br
Download: https://wwb.lanzouy.com/ixljS07s9hpc
Errata:
12.
II取I中所得滤液加入少量X溶液,此时溶液颜色为紫色;再加入过量Ba(OH)2溶液,过滤,所得滤液的颜色为蓝色。
IV取II中所得滤液加入过量稀硝酸和少量Y溶液,产生白色沉淀;过滤。
(3)IV中所得滤液的颜色为________。


